摘要 本发明了一种高固含聚氨酯油墨树脂、制备方法及其应用,所述树脂由包含以下质量份组分的原料反应制得:合物多元醇28~46份,多异氰酸酯3~15份,功能型胺类扩链剂e2~9份,功能型封端剂t0.1~13份,溶剂3...
摘要
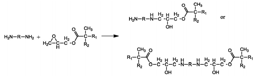
本发明了一种高固含聚氨酯油墨树脂、制备方法及其应用,所述树脂由包含以下质量份组分的原料反应制得:合物多元醇28~46份,多异氰酸酯3~15份,功能型胺类扩链剂e2~9份,功能型封端剂t0.1~13份,溶剂30~60份。本发明的聚氨酯树脂在45%固含以上时仍具有较低的粘度和较高的分子量,制备的油墨具有优异的流平性,附着牢度,和抗黏连性能等。
其中,所述聚合物多元醇指的是聚酯多元醇或聚醚多元醇,聚酯多元醇为由二元醇与二元酸缩聚生成的端羟基聚酯化合物。所述二元醇实例包括但不限于乙二醇、1,2‑丙二醇、1,3‑丙二醇、甲基丙二醇、1,3‑丁二醇、1,4‑丁二醇、新戊二醇、1,6‑己二醇、3‑甲基‑1,5‑戊二醇、1,4‑环己基二醇、二羟基二砜、2,2‑二(4‑羟基基)丙烷、4,4’‑二羟基二基甲烷中的至少任一种;所述二元酸的实例包括但不限于癸二酸、己二酸、壬二酸、对二甲酸、间二甲酸、邻二甲酸中的至少任一种。优选地,所述聚酯多元醇的官能度为2。

作为所述聚醚多元醇指的是由羟基化合物起始、环氧烷聚合而成的化合物,常用作为起始剂的羟基化合物实例包括但不限于乙二醇、二甘醇、1,2‑丙二醇、1,3‑丙二醇、二丙二醇、1,2‑丁二醇、1,3‑丁二醇、1,4‑丁二醇、己二醇、戊二醇、3‑甲基‑1,5‑戊二醇、1,8‑辛二醇、1,9‑壬二醇、1,12‑十二烷二醇、邻二酚、间二酚、双酚f、双酚a中的至少任一种。环氧烷实例包括但不限于环氧乙烷、环氧丙烷、环氧丁烷中的至少任一种。所述聚合物多元醇的数均分子量为400~6000,例如包括但不限于800、1500、2000、3000、4000、5000,优选1000~4000。
其中,所述多异氰酸酯的实例包括但不限于二异氰酸酯(tdi)、二基甲烷二异氰酸酯(mdi)、异佛尔酮二异氰酸酯(ipdi)、六亚甲基二异氰酸酯(hdi)、二环己基甲烷二异氰酸酯(hmdi)、萘二异氰酸酯(ndi)、对二异氰酸酯(ppdi)、1,4‑环己烷二异氰酸酯(chdi)、二亚甲基二异氰酸酯(xdi)、环己烷二亚甲基二异氰酸酯(hxdi)、三甲基‑1,6‑六亚甲基二异氰酸酯(tmhdi)、四甲基间二亚甲基二异氰酸酯(tmxdi)、降冰片烷二异氰酸酯(nbdi)、二甲基联二异氰酸酯(todi)、甲基环己基二异氰酸酯(htdi)中的至少任一种。优选地,所述多异氰酸酯为二异氰酸酯(tdi)、异佛尔酮二异氰酸酯(ipdi)、六亚甲基二异氰酸酯(hdi)、二环己基甲烷二异氰酸酯(hmdi)中的一种或多种。

所述步骤3)中异氰酸酯预聚体的合成中,所述催化剂可以采用本领域常用的催化剂,其实例包括但不限于为二二甲基锡、二丁酸二丁基锡、二(2‑乙基己酸)二丁基锡、二月桂酸二丁基锡、二月桂酸二辛基锡、二辛酸锌(ii)、乙酰丙酮酸锆、2,2,6,6‑四甲基‑3,5‑庚烷二酮酸锆和2‑乙基己酸铋中的至少任一种;优选二月桂酸二丁基锡、新癸酸铋和2‑乙基己酸铋,进一步优选新癸酸铋和2‑乙基己酸铋。
其中,所述的溶剂选自酯类、仲醇、叔醇类溶剂中的一种或多种;优选、正丙酯、异丙酯、正丁酯、异丁酯、异丙醇中的一种或多种,更优选为、正丙酯和异丙醇中的一种或多种。需要说明的是,所述步骤2)和步骤3)中的溶剂所采用的具体种类可以相同或不同,起到的作用是稀释溶解,不影响本发明的实施。
