三基膦与有机叠氮化合物反应生成亚氨基膦烷

三基膦与有机叠氮化合物反应生成亚氨基膦烷 脱氧反应 三基膦广泛地应用于过氧化氢或内过氧化物的还原中,反应与底物有 关,可生成醇、羰基化合物或环氧化物。这类反应的主要驱动力是三基膦与相对较弱的o...

三基膦与有机叠氮化合物反应生成亚氨基膦烷

脱氧反应

三基膦广泛地应用于过氧化氢或内过氧化物的还原中,反应与底物有

关,可生成醇、羰基化合物或环氧化物。这类反应的主要驱动力是三基膦与相对较弱的o-o 键(188~209 kj/mol) 能形成较强的p=o键。例如,利用三基膦可以还原分解臭氧化物、选择性制备酮和醛

与叠氮化物的反应【staudinger还原】

三基膦与有机叠氮化合物反应生成亚氨基膦烷

亚氨基膦烷是一种较活泼的亲核试剂,易与亲电试剂反应。如与醛和酮反应生成亚胺和三基膦氧化物。这个反应与wittig反应相似,称作aza-wittig 反应,这个反应的驱动力也是由于三基氧膦的生成

与有机硫化物的反应【eschenmoser脱硫反应】

室温下三基膦可以使环硫化合物转化为烯烃

脱卤反应

α-溴代酮与三基膦反应生成酮

与有机环氧化物的反应

在水和丙酮溶剂中回流,三基膦可以使环氧化合物在叠氮化钠参与下转化为环亚胺 (式6)[6]。

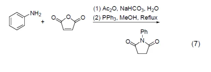
取代吡咯的制备

胺、呋喃二酮与三基膦反应生成-基-吡咯二酮

作金属催化剂的配体【金属催化反应小结】

它作为配体与许多过渡金属组成金属催化剂,是一种重要的催化剂[8],常用于催化偶联反应的进行,是构建碳-碳键的一种重要方法,其特点是催化条件温和。硼酸与芳香卤代烃直接反应生成联类化合物,该反应的产率达到了90%除了硼酸和卤代物以外,镁试剂、锌试剂、锡试剂、硅化合物等均可作为偶联反应的底物。

卤代物的制备【appel反应】

利用appel反应将醇转化为卤代物。

三基膦/咪唑/碘体系碘代反应

利用三基膦溴化物制备脂肪溴代物

酰胺的制备【三基膦类缩合剂制备酰胺】

mitsunobu反应

利用偶氮二羧酸酯(通常为偶氮二羧酸二乙酯,dead)和三取代膦化物(通常为三基膦),亲核试剂和醇进行sn2反应构型翻转得到构型相反的取代产物的反应。

联系我们

联系我们

工作时间:周一至周五,9:00-17:30,节假日休息。 业务联系周经理: 18921336537
手机访问
手机扫一扫打开网站

手机扫一扫打开网站

返回顶部
首页
产品
电话
联系